www-group.slac.stanford.edu - /met/magmeas/magdata/LCLS-II/Background_Fields/Linac_Sector2_10/


[To Parent Directory]

Wednesday, October 16, 2013 9:32 AM 282 index.dat
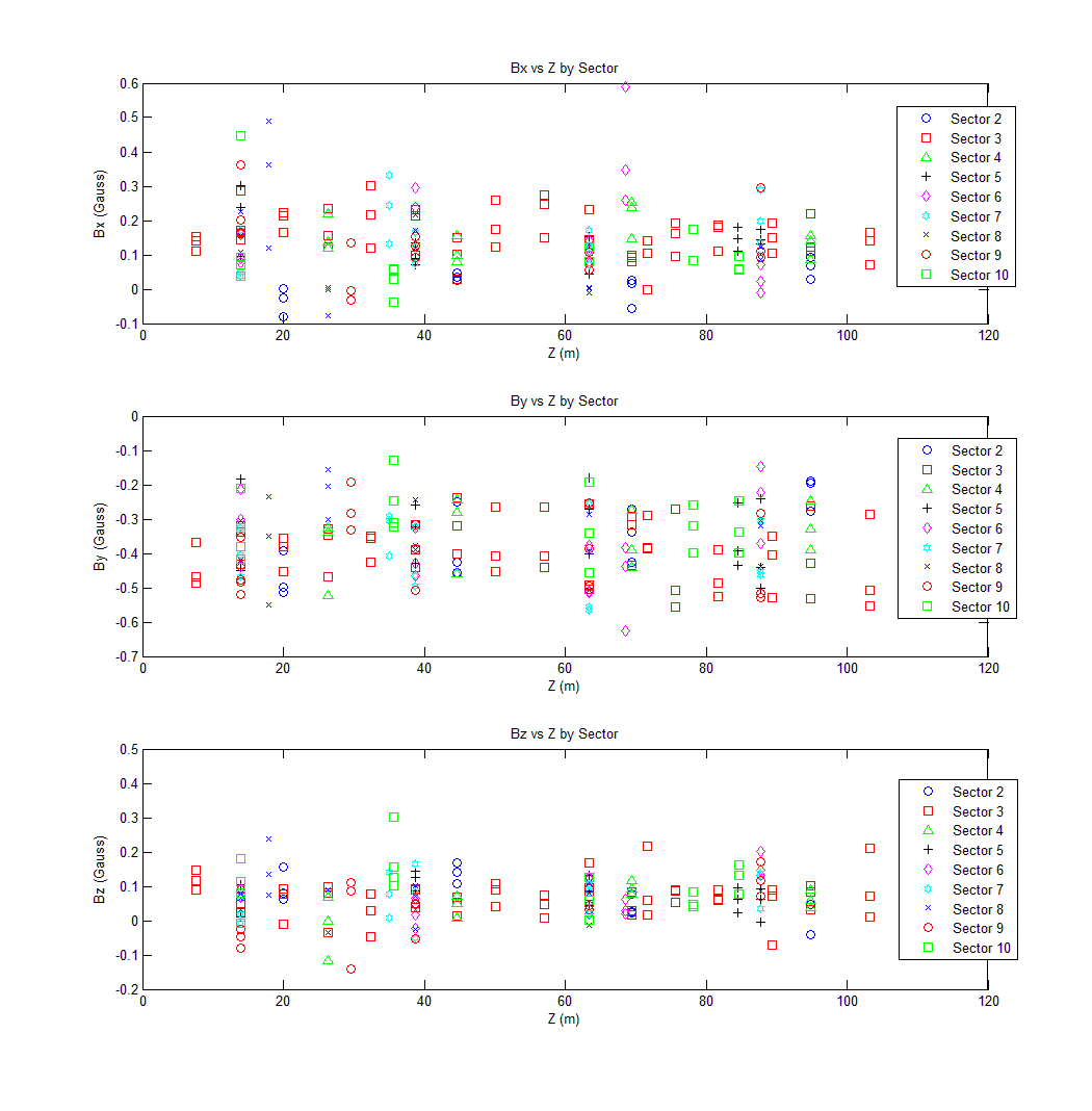
Wednesday, October 16, 2013 3:21 PM 1124614 Linac Sector 2 - 10 B Fields vs z all data.bmp
Wednesday, October 16, 2013 3:54 PM 1005154 Linac Sector 2 - 10 B Fields vs z at North wall (1.16 m from beamline) Y = 1.1 m from floor.bmp
Wednesday, October 16, 2013 3:43 PM 1063678 Linac Sector 2 - 10 B Fields vs z on Floor along Beamline X = 0.0, Y = 0.055 m.bmp
Wednesday, October 16, 2013 3:27 PM 1214326 Linac Sector 2 - 10 B Fields vs z on strongback X =0.0, Y = 1.52 from floor.bmp
Wednesday, October 16, 2013 2:31 PM 20608 tunnelfluxdat.ru1
Wednesday, October 16, 2013 1:35 PM 23172 tunnelfluxlog.ru1
Wednesday, October 16, 2013 9:32 AM 1382 tunnelfluxpar.ru1
Wednesday, October 16, 2013 3:46 PM 16980 tunnelfluxplt.ru1