www-group.slac.stanford.edu - /met/magmeas/magdata/LCLS-II-HE/Dipole/4591/Summary Plots/


[To Parent Directory]

Thursday, August 1, 2024 4:55 PM 126479 Delta B over B and Harmonics Data.png
Thursday, August 1, 2024 4:55 PM 126479 Delta B over B for SXRSS Chicane Dipole 4591, 102.36 Amps.png
Thursday, August 1, 2024 4:55 PM 130479 Delta B over B for SXRSS Chicane Dipole 4591, 75 Amps.png
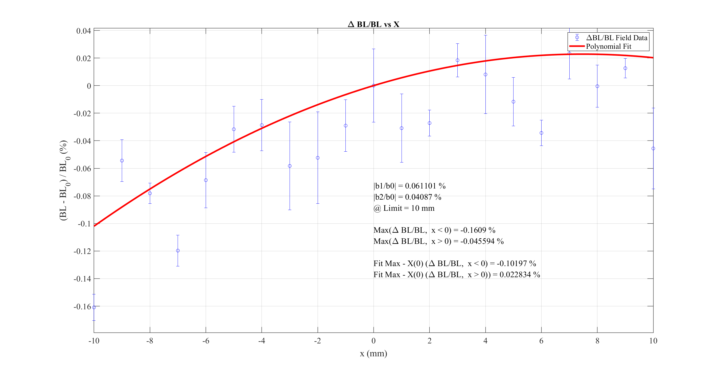
Thursday, August 1, 2024 4:55 PM 55556 Normalized BL vs X for SXRSS Chicane Dipole 4591.png
Thursday, August 1, 2024 4:55 PM 54887 Normalized Transfer Functions at 0.02, 0.150 and 0.45 T-m for SXRSS Chicane Dipole 4591.png