www-group.slac.stanford.edu - /met/MagMeas/MagData/LCLS/Undulator/L143-112000-33/DATASET0001/Rough Tuning/Z Scans/Run 059/


[To Parent Directory]

Tuesday, November 13, 2007 10:39 AM 19441 bscanz.log
Tuesday, November 13, 2007 10:20 AM 25225 bscanz.par
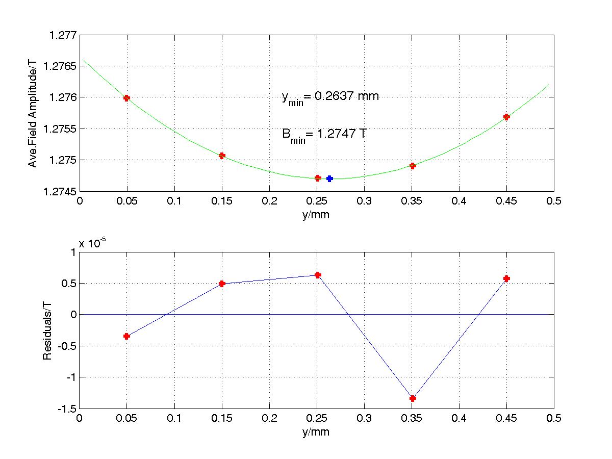
Tuesday, November 13, 2007 10:46 AM 105095 Und33Run59-yctr-5pointfit.jpg
Tuesday, November 13, 2007 10:32 AM 1410875 x+00000_y+001_bscanz.dat
Tuesday, November 13, 2007 10:32 AM 13150 x+00000_y+001_bz_poles.txt
Tuesday, November 13, 2007 10:35 AM 1410876 x+00000_y+101_bscanz.dat
Tuesday, November 13, 2007 10:35 AM 13154 x+00000_y+101_bz_poles.txt
Tuesday, November 13, 2007 10:39 AM 1410875 x+00000_y+201_bscanz.dat
Tuesday, November 13, 2007 10:39 AM 13166 x+00000_y+201_bz_poles.txt
Tuesday, November 13, 2007 10:28 AM 1410875 x+00000_y-099_bscanz.dat
Tuesday, November 13, 2007 10:28 AM 13148 x+00000_y-099_bz_poles.txt
Tuesday, November 13, 2007 10:25 AM 1410875 x+00000_y-200_bscanz.dat
Tuesday, November 13, 2007 10:25 AM 13149 x+00000_y-200_bz_poles.txt