www-group.slac.stanford.edu - /met/MagMeas/MagData/LCLS-II/ISRDD/Archive/SXU2_TCRM_Tension/Summary_Plots_Run11/


[To Parent Directory]

Friday, April 19, 2019 1:19 PM 86677 % Ambient Temp & % Integral vs Time Run11.png
Friday, April 19, 2019 1:19 PM 107463 Carrier Temp & Integral vs Time Run11.png
Friday, April 19, 2019 1:18 PM 35699 Coil Integral Histogram Run11.png
Friday, April 19, 2019 1:19 PM 37345 Run11_data.mat
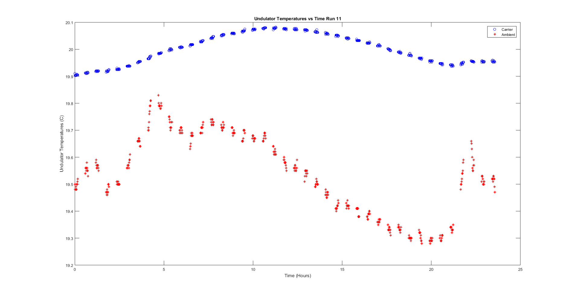
Friday, April 19, 2019 1:18 PM 54432 Temperatures vs Time Run11.png